To make your integral convergent, you should have assumed m > Sqrt[u + 1]; then, you shouldn't have assumed other conditions for m. If we do that, we get a pretty nice result :
int[u_, m_] = Integrate[ 1/Sqrt[(s^2 - u)^2 - 1], {s, m, Infinity},
Assumptions -> u > 2 && m > Sqrt[u + 1]]
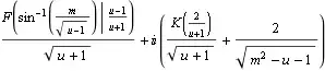
EllipticF[ArcSin[m/Sqrt[-1 + u]], (-1 + u)/(1 + u)]/Sqrt[1 + u] +
I (2/Sqrt[-1 + m^2 - u] + EllipticK[2/(1 + u)]/Sqrt[1 + u])
% // TraditionalForm

Edit
This result isn't manifestly real while the integral should be. The problem comes from the fact that ArcSin is a well defined function assuming an appropriate convention on certain region. Evaluating numerically the result we get nonvanishing imaginary part because Mathematica assumes an arbitrary ( inadequate in this case) convention. However, we should simply cancel that part. We can see this problem defining a numerical integral :
nint[u_, m_] := NIntegrate[1/Sqrt[(s^2 - u)^2 - 1],
{s, m, Infinity} ] /; u > 2 && m > Sqrt[u + 1]
e.g.
{ int[3, 3] // N, nint[3, 3]}
{0.38116 + 0.894427 I, 0.38116}
{ int[5, 6] // N, nint[5, 6]}
{0.175115 + 0.365148 I, 0.175115}
Thus the result itself is correct but the symbolic integral int should be supplemented by an adequate rule, in our case it is simply int[u,m] -> Re @ int[u,m].