I'm new to Mathematica and I have to solve this problem but all of my approaches are wrong :(
So, please can anyone help me with this equation?
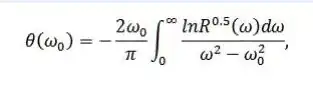
Here it is:

Here is my data : https://pastebin.com/preM342D The data is in ln(sqrt(R)), w And here is my code:
{R, w} = ToExpression@Import["https://pastebin.com/raw/preM342D"];
f = Interpolation[Transpose[{Flatten[w], Flatten[R]}]]
theta[w_] :=
theta[w] =
2 w/Pi NIntegrate[ f[a]/(a^2 - w^2), {a, 0, 3.2},
Method -> "PrincipalValue", Exclusions -> {(a^2 - w^2) == 0}] //
Quiet
DiscretePlot[theta[w], {w, 0.5, 3.5, .25}, AxesOrigin -> {0, 0},
Joined -> True]
P.S. I know that this question was discussed before, but all the answers that were given I can't get to work. Very appreciate for any help
But it is wrong
