I am a new Mathematica user (about 6 month) and I am trying to solve the wave equation for a rectangulare plate (not an elastic mebrane). I read some papers about this subject and my code structure is inspired by the 1D wave equation code found in the Wolfram's help sheets. Unfortunately, I have got the following message : Equation or list of equations expected instead of True in the first argument.
Here is the theory I used to write my code :

ClearAll["Global`*"];
Ey = 2.078 10^11 ;(* N/m^2 *)
\[Nu] = 0.317756 ;(* unitless *)
\[CurlyRho]d = 8166; (* kg/m^3 *)
h = 10^-3;
Df = (Ey h^3)/(12 (1 - \[Nu]^2));
eqn = {D[w[x, y, t], {x, 4}] + 2 D[w[x, y, t], {x, 2}, {y, 2}] +
D[w[x, y, t], {y, 4}] + (\[CurlyRho]d h)/
Df D[w[x, y, t], {t, 2}] == 0}
(* Initial conditions *)
ic = {w[x, y, 0] == Sin[m x ] Sin[n y],
D[w[x, y, 0], {t, 1}] ==
0}; (* Sin[mx]Sin[n y] plate's initial vibration is sinusoidal \
waves in x and y *)
(* m and n are integers *)
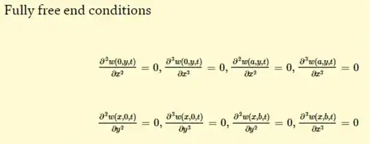
(* Boundary conditions *)
bc1 = {Derivative[2, 0, 0][w][0, y, t] == 0,
Derivative[3, 0, 0][w][0, y, t] == 0,
Derivative[2, 0, 0][w][a, y, t] == 0,
Derivative[3, 0, 0][w][a, y, t] == 0};
bc2 = {Derivative[0, 2, 0][w][x, 0, t] == 0,
Derivative[x, 3, 0][w][0, y, t] == 0,
Derivative[0, 2, 0][w][x, b, t] == 0,
Derivative[0, 3, 0][w][x, b, t] == 0};
symbsol =
DSolve[{eqn, bc1, bc2, ic}, w, {x, y, t},
Assumptions -> Element[{m, n}, Integers]]





But I will follow your advice and will try clamped edges as BC.
Congratulations : you are the author of the demo. Great job. Is the code public and available?
– Pascal77 Mar 27 '21 at 12:29