I am interested in obtaining the intermediate steps for rather straightforward symbolic definite integrations (e.g., from an elementary calculus text).
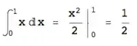
As an example, for $\int_0^1 x\,dx$ I'd like output along the lines of
$$ \int_0^1 x\,dx={x^2\over 2}\Bigg|_0^1={1\over 2} $$
I have reviewed the responses to this question dealing with WolframAlpha-like step-by-step output as well as this one and this one.
The answer in the first link above is in the spirit of what I'm after (especially the last answer given by FDSg), but it focuses on differentiation. However, when I try this on even elementary definite integrals like $\int_0^1 x\,dx$ it simply returns the answer without the steps. Perhaps I am overlooking something. I do not intend to duplicate that question and this distinction is key to that.
In short, I'd be happy if ShowSteps (applied to Integrate[x,{x,0,1}]) would simply show the output in the displayed equation above (the emphasis being that I don't need to see how the indefinite integral is computed, just what it is, and then completing the evaluation between limits).















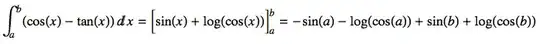
Rubiwhich shows step by step transformations. – Nasser Aug 14 '13 at 16:09Rubiseems to be more than I need. – JohnD Aug 14 '13 at 16:46he Presentations package has a subsection called Student's Integral that allows the step by step evaluation of definite or indefinite integrals.I have not used it. But David posts here, so you can either ask him or check his web site. – Nasser Aug 14 '13 at 17:18Integrate[x,x]to include the vertical bar, subscripted lower limit, and superscripted upper limit as in the middle part of the displayed equation above? – JohnD Aug 14 '13 at 18:33Integrate[x, {x, a, b}]it will generate-(a^2/2) + b^2/2so I do not think there is a way to do this using Mathematica directly. – Nasser Aug 14 '13 at 19:09Integrate[Sin[Sin[x]],{x,0,2 Pi}]. – Mark McClure Aug 15 '13 at 01:27