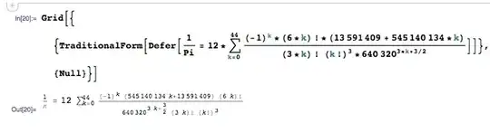
TraditionalForm[] does a great job generally speaking, with complex equations like the following,
TraditionalForm[
Defer[
1/Pi =
2*Sum[((-1)^k*(6*k)!*(13591409 + 545140134*k))/((3*k)!*k!^3*640320^(3*k + 3/2)), {k, 0, 44}]
]
]
(which is to say…)

However, if I put this same equation in a Grid[] or Table[] or Column[], it gets "squished," as in the following

How can I prevent this from happening? I particularly want to prevent it from swinging the upper bound of the summation to the right of the sigma.


