Here is a system which Maple can solve, but Mathematica cannot.
FF = f[a, b, c, d]
eq1 = D[FF, d] + (1 - a)*D[FF, a]/d == 0
eq2 = D[FF, c] + (b - (a - 1)*d)*D[FF, a]/(c*d) == 0
eq3 = D[FF, b] + D[FF, a]/d == 0
DSolve[{eq1, eq2, eq3}, {FF}, {a, b, c, d}]
DSolve does solve them individually, but can not solve them as a system, which is something I really need.
DSolve[eq1, f, {a, b, c, d}]
(* {{f -> Function[{a, b, c, d}, C[1][b, c][-(-1 + a) d]]}} *)
DSolve[eq2, f, {a, b, c, d}]
(* {{f -> Function[{a, b, c, d}, C[1][b, d][c (b + d - a d)]]}} *)
DSolve[eq3, f, {a, b, c, d}]
(* {{f -> Function[{a, b, c, d}, C[1][c, d][b - a d]]}} *)
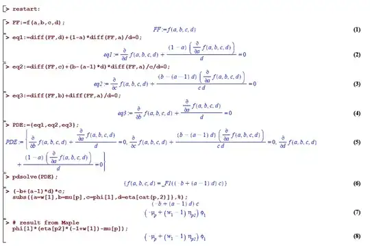
Here is how it works in Maple:

So the solution is a function that takes parameters ${a,b,c,d}$, and the function is constructed somehow in this way $c(-b+(a-1)d)$.
How do I use _Mathematica to check, that it is a solution?
And similarly, how to do use MMA to construct a function from
(* {{f -> Function[{a, b, c, d}, C[1][b, c][-(-1 + a) d]]}} *)
That is, how do I construct a function with parameters ${a,b,c,d}$, and the body is separate in $b$ and $c$, but $a$ and $d$ are involved like $-(-1 + a) d$?
Thanks