I think Artes comment is the best answer to this question.
I post this just as a way to play with this identity. f will take a product of Cos and return sum. I have not tried to pattern search for parts of expressions.
f[exp_] :=
With[{v = Cases[{exp}, Cos[x_] :> x, Infinity]},
Total[Cos[v.#] & /@ Tuples[{1, -1}, Length[v]]]/2^Length[v]]
You can do some testing (NOT PROOF obviously):
h[m_] := With[{var = Table[Unique["x"], {Length@m}]},
f[Times @@ (Cos[#] & /@ var)] /. Thread[var -> m]]
cosp[m_] := Times @@ (Cos /@ m)
Tests:
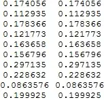
test = RandomReal[{0, 1}, {10, 10}];
Grid[Through[{h, cosp}[#]] & /@ test]

Symbolic:
cosp[{n1, n2, n3}]
gives Cos[n1] Cos[n2] Cos[n3]
h[{n1, n2, n3}]
gives: 1/8 (2 Cos[n1 - n2 - n3] + 2 Cos[n1 + n2 - n3] +
2 Cos[n1 - n2 + n3] + 2 Cos[n1 + n2 + n3])
`and
TrigExpand[h[{n1, n2, n3}]]
gives:
Cos[n1] Cos[n2] Cos[n3]
TrigReduce. – Daniel Lichtblau Aug 21 '14 at 17:51