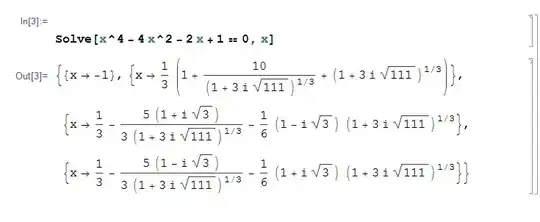
The polynomial $P(x)=x^4-4x^2-2x+1$ has 4 real roots (this can be clearly checked by plotting). But solving $P(x)=0$, using Solve[x^4-4x^2-2x+1==0,x] leads to x=-1 and 3 other roots which (however they're not) seems complex number as they are represented in terms of $i$ (the imaginary unit):

But I want to have the roots represented in a real closed radical expression. I mean neither in trigonometric representation (such as the output of ComplexExpand[]) nor with any $i$'s in it. Is there any simplification function or procedure that can help?
I've tried Simplify[] and FullSimplify[] and their various options. Even I've combined them with some other expression manipulation functions such as Expand[], Refine[] and ComplexExpand[], but I could not reach my goal.
Rehelp? – Sjoerd C. de Vries Sep 08 '14 at 06:12ComplexExpand. – Mark McClure Sep 08 '14 at 06:43