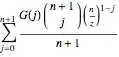
I have a series like this:
Sum[(n/z)^(1 - j + n)*Binomial[1 + n, j]*G[j], {j, 0, 1 + n}]/ ((1 + n)*(n/z)^n)

where G[j] is, at this stage, "some function", unspecified. n is usually pretty large and at some point I'll be truncating the series with an O(n+2) term at the end; but let's not go there just yet.
What I would like to see is, as you might expect:

or
Sum[((n/z)^(1 - j)*Binomial[1 + n, j]*G[j])/(1 + n), {j, 0, 1 + n}]
I can't see any way from getting from one to the other and get rid of the notion that simple rearrangements of terms are something that I ought to be able to do.
Can anyone point me in the right direction?
