The problem I would like to solve: A formula like \phi(x+y)^T looks slightly ambiguous. Without context, it could mean:
- This is a function
\phitaking(x+y)as arguments and then the result is transposed - This is a scalar
\phimultiplied to the transpose ofx+y
So I thought in addition to making it clear in the context, I could use different parentheses for functions than for grouping/precedence. Is there something commonly used for this purpose? Ideally it would be easy to do without packages, so that it also works in mathjax.
Inspired from this comment
Let $x \in I!!R$. [I have seen this in actual documents. Disclaimer: don't do this. Seriously.]
– CompuChip Oct 16 '18 at 20:44
I came up with
\newcommand\of[1]{(\!\!(#1)\!\!)}
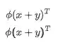
\phi(x+y)^T\\
\phi\of{x+y}^T
This looks different enough to be noticeable and similar enough to not be confusing. However, the comment I quoted says "don't do this. Seriously." so I wonder whether there is a problem with doing this - or if not, at least a more established way.

\bm{(}otherwise any attempt to copy the text will show the double ( and be very confusing, as will any attempt to convert the latex for use on the web in mathjax or mathml etc – David Carlisle Jan 14 '22 at 11:58\bmdoesn't seem to exist in my mathjax, but\bolddoes. – lucidbrot Jan 14 '22 at 12:02\boldonly worked on opening parentheses in typora mathjax but\boldsymbolworks for both opening and closing parentheses) – lucidbrot Jan 14 '22 at 12:18\phi (as phi of .. or phi times ... depending. – David Carlisle Jan 14 '22 at 12:29\cdotif it is supposed to be multiplication. – gernot Jan 14 '22 at 17:34