One environment that breaks line is the split. It must be inside equation-like environment.
As you used \left\{ at the beginning, you shall add \right. before ending and breaking the line (\\). If you don't, you get a error message: Extra }, or forgotten \right. \end{split}.
In consequence, as there must be a \right\} at the last line, there must be added a \left..
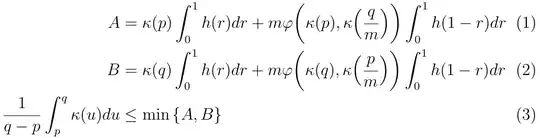
Also notice that \min is a math command to write the word "min" as math function while just typing min may lead to a misleading "m" times "i" times "n".
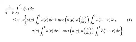
Ampersand (&) is used to define the tabulation. I organized the sums below the \leq symbol.
You may also considere using \mathrm{d} to the ds of derivatives. Check derivatives for more information.
\documentclass[12pt]{report}
\usepackage{amsmath}
\begin{document}
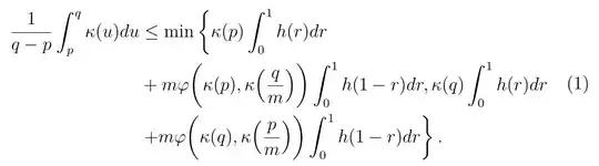
\begin{equation}\label{hhi1}
\begin{split}
\frac{1}{q-p}\int_{p}^{q}\kappa(u)du & \leq \min \left{ \kappa(p)\int_{0}^{1} h(r)dr \right. \
& +m\varphi\bigg(\kappa(p),\kappa\Big(\frac{q}{m}\Big)\bigg)\int_{0}^{1} h(1-r)dr,\kappa(q)\int_{0}^{1} h(r)dr \
& \left.+m\varphi\bigg(\kappa(q),\kappa\Big(\frac{p}{m}\Big)\bigg)\int_{0}^{1} h(1-r)dr \right}.
\end{split}
\end{equation}
\end{document}

Edit
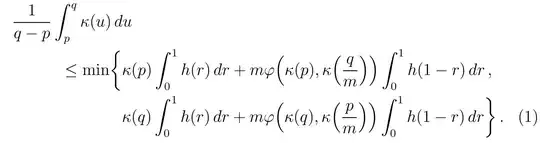
Following David Carisle's advice, I change the equation block to
\begin{equation}
\begin{split}
\frac{1}{q-p}\int_{p}^{q}\kappa(u)du & \leq \min \left\{ \kappa(p)\int_{0}^{1} h(r)dr \right. \\
& + m \varphi \left. \bigg(\kappa(p),\kappa\Big(\frac{q}{m}\Big)\bigg)\int_{0}^{1} h(1-r)dr,\kappa(q)\int_{0}^{1} h(r)dr \right. \\
& + m \varphi \left. \bigg(\kappa(q),\kappa\Big(\frac{p}{m}\Big)\bigg)\int_{0}^{1} h(1-r)dr \right\}.
\end{split}
\end{equation}
so that the spacing between +, m \varphi and the first ( is not lost.

\left\{and\right\}to\Bigg\{and\Bigg\}or do as FHZ suggests with regard to\leftand\right. – frabjous Apr 16 '22 at 01:13