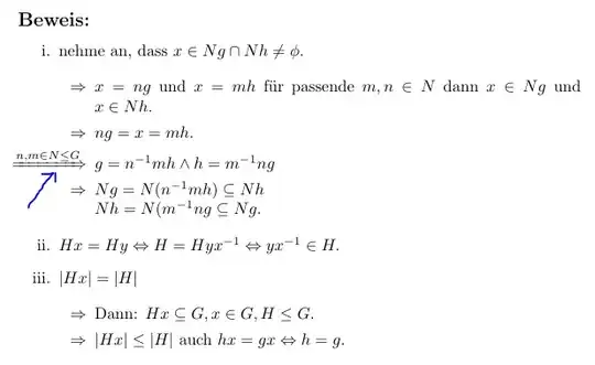
I'm trying to write this mathematical expression $n, m \in N \leq G$
on \Rightarrow (as a list item) while writing proof.
But in this code
\documentclass{article}
\usepackage{amsmath}
\usepackage[utf8]{inputenc}
\usepackage{url}
\usepackage{hyperref}
\begin{document}
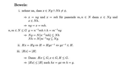
\subsection*{Beweis:}
\begin{itemize}
\item[i.]nehme an, dass $x \in Ng \cap Nh \neq \phi.$
\begin{itemize}
\item[$\Rightarrow$] $x = ng$ und $x = mh$ für passende $m,n \in N$ dann $x \in Ng$ und $x \in Nh.$
\item[$\Rightarrow$] $ng = x = mh.$
\item[\xRightarrow{$n,m \in N \leq G$}] $g = n^{-1}mh \wedge h = m^{-1}ng$
\item[$\Rightarrow$] $Ng = N(n^{-1}mh) \subseteq Nh \ Nh = N(m^{-1}ng \subseteq Ng.$
\end{itemize}
\item[ii.] $Hx = Hy \Leftrightarrow H = Hyx^{-1} \Leftrightarrow yx^{-1} \in H.$
\item[iii.] $|Hx| = |H|$
\begin{itemize}
\item[$\Rightarrow$] Dann: $Hx \subseteq G, x \in G, H \leq G.$
\item[$\Rightarrow$] $|Hx| \leq |H|$ auch $hx = gx \Leftrightarrow h = g.$
\end{itemize}
\end{itemize}
\end{document}
How do I get the desired result?


\items locally all the time. Package enumitem should be considered. – FHZ Jun 04 '22 at 18:23