Short answer:
\documentclass{article}
\usepackage{polynom}
\usepackage{tikz}
\usepackage{etoolbox}
\makeatletter
\patchcmd{\pld@ArrangeResult}{\bigr)}{
,\tikz[overlay]{
\coordinate (A) at (0,-3pt);
\coordinate (B) at (0,\normalbaselineskip-0.8pt);
\draw (A) to[in=-40, out=40, looseness=1] (B);
}
}{}{}
\makeatother
\begin{document}
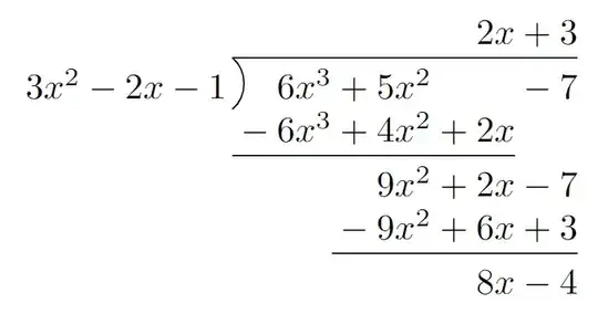
\polylongdiv{6x^3+5x^2-7}{3x^2-2x-1}
\end{document}

Detailed answer:
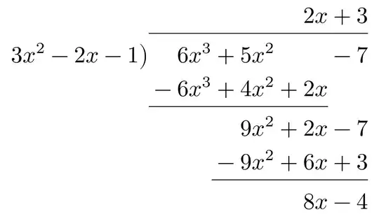
In order to figure out how to solve the problem, you might need to look up the source code to see how it's implemented in the first place.
Obviously, by default it prints just a parenthesis ), so I decided to make a simple search with ) query in
C:\texlive\2022\texmf-dist\tex\latex\polynom
your path with installed latex packages might differ though
Apparently, in the source code there are no that much parentheses, so I managed to locate it pretty quickly

so now it's only the matter of changing that bit. Since it sits inside the definition of the whole \pld@ArrangeResult command you have to paste that whole chunk of code with whole definition of that command in your preamble and adding the desired changes, replacing that
\bigr)
Alternatively, there is a way to avoid that copy pasting by using \patchcmd command from etoolbox package
\patchcmd{command}{search}{replace}{success}{failure}
It allows to find and replace the searched part and redefine the whole command automatically.
Now let's talk about the implementation the visual changes. As you suggested I used tikz for that because you have much more control on the line drawing and the behavior itself.
You can adjust in, out, looseness parameters in the path to achieve the desired curve. Here are some examples
\draw (A) to[in=-20, out=20, looseness=1.5] (B);

\draw (A) to[in=-50, out=20, looseness=1] (B);

\draw (A) to[in=-15, out=45, looseness=1] (B);

Also you can tweak (A) coordinate to make the curve look centered as you wish
\coordinate (A) at (0,-5pt);

\coordinate (A) at (0,0);
