I plotted a function in Latex that worked very well:
\begin{figure}[htbp!]
\centering
\begin{tikzpicture}
\begin{axis}[
legend pos=north east,
title = {},
xlabel = {x},
ylabel = {y},
xmin = 0, xmax = 5,
ymin = -0.5, ymax = 1,
xtick = {0, 1, 2, 3, 4, 5},
ytick = {-0.4, -0.2, 0.0, 0.2, 0.4, 0.6, 0.8, 1.0},
height=6cm,
width=10cm
]
\addplot[black, no marks, domain=0.0:5, smooth]
{(x-1)*(exp(-x+2)/(1+exp(-x+2)))};
\end{axis}
\end{tikzpicture}
\end{figure}
which generates:
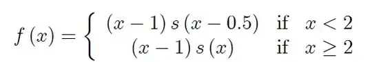
But now I have to plot a system of equations:
Any ideas on how to plot system of equations in Latex PgfPlots?
Thank you very much!




\addplot) for the two cases with different settings fordomain=.... – dexteritas Sep 08 '22 at 14:18