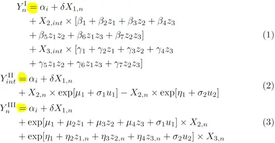
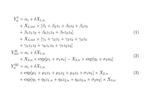
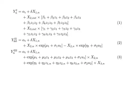
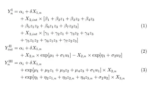
I want to align multiple split environments. As of now, I've checked these answers, but none of them did the trick. How can I align two split environments at the equal signs? , how to get two align point with split equations and Multiple alignment
I want that in the code below all the = signs to be aligned, while having separate numbers each. However, I am not sure if I am taking the correct approach. Thank you in advance.
\documentclass{article}
\usepackage[utf8]{inputenc}
\usepackage{amsmath}
\begin{document}
\begin{align}
\begin{split}
Y^{\text{I}}_{n} &= \alpha_{i} + \delta X_{1,n} \\
& +X_{2,int} \times[
\beta_{1} +
\beta_{2} z_{1} +
\beta_{3} z_{2} +
\beta_{4} z_{3} \\
& +\beta_{5} z_{1} z_{2} +
\beta_{6} z_{1} z_{3} +
\beta_{7} z_{2} z_{3} ]\\
& +X_{3,int} \times[
\gamma_{1} +
\gamma_{2} z_{1} +
\gamma_{3} z_{2} +
\gamma_{4} z_{3} \\
& + \gamma_{5} z_{1} z_{2} +
\gamma_{6} z_{1} z_{3} +
\gamma_{7} z_{2} z_{3} ]\\
\end{split}\\
\begin{split}
Y^{\text{II}}_{int} &= \alpha_{i} +\delta X_{1,n} \\
& + X_{2,n}\times\exp[ \mu_{1} + \sigma_{1} u_{1}] - X_{2,n}\times\exp[\eta_{1} + \sigma_{2} u_{2}]
\end{split} \\
\begin{split}
Y^{\text{III}}_{n} &= \alpha_{i} + \delta X_{1,n} \\
& + \exp[\mu_{1} +
\mu_{2} z_{1} +
\mu_{3} z_{2} +
\mu_{4} z_{3} + \sigma_{1} u_{1}]\times X_{2,n}\\
& + \exp[\eta_{1} +
\eta_{2} z_{1,n} +
\eta_{3} z_{2,n} +
\eta_{4} z_{3,n} + \sigma_{2} u_{2}]\times X_{3,n}
\end{split}
\end{align}
\end{document}




\texthere, it does not do what you think,\mathrmis better. – daleif Nov 22 '22 at 11:07Yline via={} &. Plus remove the\\from the last row of the firstsplitwhat seems to do things it shouldn't and then things align again. – daleif Nov 22 '22 at 11:14_{int}should be_{\mathrm{int}}math italic makes it look like i times n times t – David Carlisle Nov 22 '22 at 11:16