0

I am creating a cheatsheet for an upcoming test, so far everything seems to be going fine (using a multicols layout).

However, the fonts themselves seem to be too large, which makes the sheet too long.

I managed to make the actual text smaller using the following question: How to make font smaller than 4pt?

However, now I'm faced with a limit on how small the math itself can be.

Making the text smaller using the aforementioned methods does not affect the size of equations and verbatim symbols, and my naive approach of putting down a global \tiny symbol makes the math look weird and almost unreadable.

I would very much appreciate an adequare solution! My goal is to scale down strictly the verbatim math / equations in a document to a relatively small size, in an efficient manner.

Hitori
  • 23
  • 2
    Create your document on a bigger paper, e.g. A3 or A4 and then either use the pgfpages package to scale it back down to normal paper size of scale it while printing. – samcarter_is_at_topanswers.xyz Jan 19 '23 at 15:31
  • thank you for your comment @samcarter_is_at_topanswers.xyz! I am looking for a solution to make strictly the size of verbatim math and equations smaller. everything else is already typed down. – Hitori Jan 19 '23 at 15:39
  • Per my understanding, you need to decrease font size only for Math? Am I correct? – MadyYuvi Jan 19 '23 at 16:23

2 Answers2

5

default (\tiny)

enter image description here

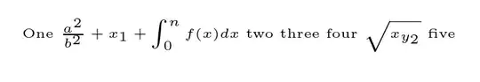
smaller (\tiny with 4pt math 3pt scripts and 2pt subsubscripts)

enter image description here

\documentclass{article}

\usepackage{lmodern} %\tiny is 5pt % \DeclareMathSizes{5}{5}{5}{5} \DeclareMathSizes{5}{4}{3}{2} \DeclareFontFamily{OMX}{lmex}{} \DeclareFontShape{OMX}{lmex}{m}{n}{% <->lmex10% not fixed sfixed*lmex10% }{}

\begin{document}

\tiny One $\frac{a^2}{b^2}+x_1 + \int_0^n f(x) dx$ two three four $\sqrt{x_{y_2}}$ five \end{document}

David Carlisle
  • 757,742
2

You could try to use extarticle with 8pt document option or a use custom font size. I applied the latter in the example below. You might want to try different fonts as well; I think newtx does not look bad.

\documentclass{article}
\usepackage{newtxtext,newtxmath}
\usepackage{titlesec}
\usepackage{blindtext}
\titleformat*{\section}{\fontsize{8pt}{10pt}\selectfont\bfseries}
\titleformat*{\subsection}{\fontsize{7pt}{9pt}\selectfont\bfseries}
\titleformat*{\subsubsection}{\fontsize{6pt}{7pt}\selectfont\bfseries}
\titleformat*{\paragraph}{\fontsize{6pt}{7pt}\selectfont\bfseries}
\begin{document}
\fontsize{5pt}{6pt}\selectfont
\blindmathtrue
\Blinddocument
\end{document}
Celdor
  • 9,058