The IEEEtran class actually makes provisions for such constructions via the IEEEeqnarraybox family of commands. The environment IEEEeqnarrayboxm typesets its material in math mode. The syntax is
\begin{IEEEeqnarrayboxm}[initialcommands][pos][width]{format}
....
\end{IEEEeqnarrayboxm}
Making [pos] equal to [t] means that the baseline of the first line aligns with the surrounding text. [intialcommnads] can be empty, or one might want to try [\IEEEeqnstrutmode] for line spacing that is similar to normal text line breaks.
Here are some samples:

\documentclass{IEEEtran}
\begin{document}
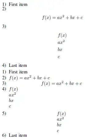
\begin{enumerate}
\item A first item in a list.
\item \leavevmode
\begin{IEEEeqnarrayboxm}[][t]{rCl}
\int_0^1 e^{-t}\,dt &=& 1-e^{-1},\\
E &=& mc^2,\\
0 &=& 6x^2 - 2x + 1.\strut
\end{IEEEeqnarrayboxm}
\item \strut
\begin{IEEEeqnarrayboxm}[][t]{cCcCcCl}
2a &+&3b&-&c&=&3\\
5a &+&b&+&2c&=&1\\
-a&+&7b&+&3c&=&7\strut
\end{IEEEeqnarrayboxm}
and some further text.
\item A text item of a length that shows the current column width.
\item \leavevmode
\begin{IEEEeqnarrayboxm}[\IEEEeqnarraystrutmode][t]{cCcCcCl}
2a &+&3b&-&c&=&3\\
5a &+&b&+&2c&=&1\\
-a&+&7b&+&3c&=&7
\end{IEEEeqnarrayboxm}\\
and some text explaining this system of equations.
\item \leavevmode
\begin{IEEEeqnarrayboxm}[][t]{l}
y = \frac{e^{ax^2+bx+c}}2.
\end{IEEEeqnarrayboxm}
\item Text item.
\end{enumerate}
\end{document}
Note that it is necessary to get LaTeX in to horizontal mode before entering the environment. This can be done by having some previous text on the line after the label, by issuing \leavevmode or by issuing a box such as \strut (this has the height of a capital letter, so can help with line spacing, but has zero width).
Similarly, \strut on the final line of the equation enviroments can improve the spacing over the default.
The documentation for the IEEEtran class has a comprehensive discription of these enviroments and various strut mechanisms in Appendix F.