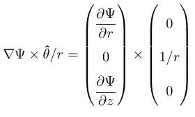
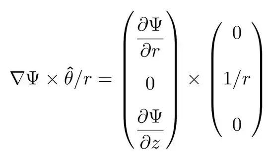
Currently I have a matrix like this:
\documentclass{article}
\usepackage{amsmath}
\begin{document}
\begin{equation*}
\nabla\Psi \times \mathbf{\hat{\theta}} / r
=
\begin{pmatrix}
\frac{\partial \Psi}{\partial r} \\
0 \\
\frac{\partial \Psi}{\partial z} \\
\end{pmatrix}
\times
\begin{pmatrix}
0 \\
1/r \\
0 \\
\end{pmatrix}
\end{equation*}
\end{document}
and this is what it looks like:

The matrix elements seem to be compressed vertically slightly because they are partial differentiations and therefore quite large. Is there any way to increase the size of the matrix elements vertically so they don't seem as compressed? I have looked around online.



