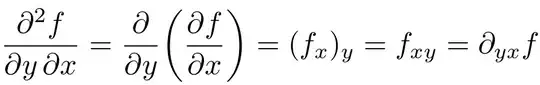
I'm trying to write something simple:
Not quite sure how to write out the second term (from the left) in LaTeX. Any suggestions please?
I'm trying to write something simple:
Not quite sure how to write out the second term (from the left) in LaTeX. Any suggestions please?
\documentclass{article}
\begin{document}
\[
\frac{\partial^2 f}{\partial y \, \partial x}
= \frac{\partial}{\partial y} \biggl( \frac{\partial f}{\partial x} \biggr)
% = \frac{\partial}{\partial y} \left( \frac{\partial f}{\partial x} \right)
= (f_x)_y
= f_{xy}
= \partial_{yx} f
\]
\end{document}
There is a difference in the spacing between using a \biggl(...\biggr) and \left(...\right) pair. Your choice, although the former is preferred.
\frac{\partial^2 f}{\partial y \partial x} = \frac{\partial}{\partial y} \biggl( \frac{\partial f}{\partial x} \biggr) = ..., performed inside a math environment. p.s and while pronounced like "Latek`, it is actually spelled with a final "X", as in "LaTeX". – Steven B. Segletes May 26 '17 at 18:44\chiit should be pronounced like a greek\chiwhich is not pronounced 'ck' as far as I know, but I totally understand if it's not pronounced that way (as a German I don't pronounce it correct, too, most of the time). – Skillmon May 26 '17 at 19:07