If you're happy with U+00F0 LATIN SMALL LETTER ETH, that is, ð, then you can define it as a math symbol. I used italic, that seems more appropriate.
\documentclass{article}
\usepackage{amsmath}
\DeclareSymbolFont{toneitalic}{T1}{\familydefault}{m}{it}
\DeclareMathSymbol{\cpartial}{\mathord}{toneitalic}{"F0}
\begin{document}
\begin{equation*}
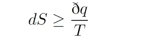
dS\ge\frac{\cpartial q}{T}
\end{equation*}
\end{document}

The slot number "F0 is not a coincidence, as the T1 encoding tries to be as consistent with Latin-1 as possible. Anyway, in order to check, I did from the command line
latexdef dh
to get
\dh:
macro:->\T1-cmd \dh \T1\dh
Hmm, what should we ask for? With some background in the innards of LaTeX
latexdef 'T1\dh'
is the right thing to ask for:
\T1\dh:
\char"F0
You can also cross \partial. The following works with CM fonts, and can be adapted to other fonts. Not really good in \scriptscriptstyle; some work is needed in case.
\documentclass{article}
\usepackage{amsmath,graphicx}
\makeatletter
\newcommand{\cross@partial}{\mathpalette\cross@@partial\relax}
\newcommand{\cross@@partial}[2]{%
\makebox[0pt][r]{%
\raisebox{-0.05\height}{%
\makebox[0.5\width][l]{%
\rotatebox[origin=l]{30}{$\m@th#1\mathchar'26$}%
}%
}%
}%
}
\newcommand{\cpartial}{\partial\cross@partial}
\makeatother
\begin{document}
\begin{equation*}
dS\ge\frac{\cpartial q}{T}\quad\scriptstyle\cpartial
\end{equation*}
\end{document}

\dhmacro in a\textor\textupdirective. – Mico Feb 21 '20 at 18:03