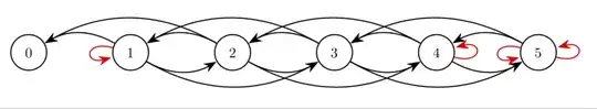
In this picture my code draws the red loops. I'd like to replace them with the hand drawn ones in black.
I've tried lots of cargo cult programming with tikz options from changing loop size and shape in tikz , changing loop size and shape in tikz , How to draw bigger circular states and multiple transitions in automata? and other sites, to no avail. Perhaps those interventions may not work properly with the automata library.
(I'd like larger arrowheads, too, thanks.)
MWE:
\documentclass[border=3.14mm]{standalone}
\usepackage{tikz}
\usetikzlibrary{automata, positioning, arrows}
\tikzset{
->, % makes the edges directed
>=stealth', % makes the arrow heads bold
node distance=2.5cm, % minimum distance between two nodes. Change if necessary.
every state/.style={thick}, % sets the properties for each 'state' node
}
\begin{document}
\begin{tikzpicture}
\node[state] (0) {$0$};
\node[state, right of=0] (1) {$1$};
\node[state, right of=1] (2) {$2$};
\node[state, right of=2] (3) {$3$};
\node[state, right of=3] (4) {$4$};
\node[state, right of=4] (5) {$5$};
% march down
\draw[thick](1) edge[bend right, above] (0);
\draw[thick](2) edge[bend right, above] (1);
\draw[thick](3) edge[bend right, above] (2);
\draw[thick](4) edge[bend right, above] (3);
\draw[thick](5) edge[bend right, above] (4);
% skip dowo
\draw[thick](2) edge[bend right, above] (0);
\draw[thick](3) edge[bend right, above] (1);
\draw[thick](4) edge[bend right, above] (2);
\draw[thick](5) edge[bend right, above] (3);
% march up
\draw[thick](1) edge[bend right, below] (2);
\draw[thick](2) edge[bend right, below] (3);
\draw[thick](3) edge[bend right, below] (4);
\draw[thick](4) edge[bend right, below] (5);
% skip up
\draw[thick](1) edge[bend right, below] (3);
\draw[thick](2) edge[bend right, below] (4);
\draw[thick](3) edge[bend right, below] (5);
% loops
\draw[thick] (1) edge[loop left, red] (1);
\draw[thick] (4) edge[loop right, red] (4);
\draw[thick] (5) edge[loop left, red] (5);
\draw[thick] (5) edge[loop right, red] (5);
\end{tikzpicture}
\end{document}





border=3.14mm;-) – Aug 29 '18 at 19:04