Based on formulae here to get more flexibility on \mu (average) and \sig (variance), I reused @Marmot's solution to get

that still need improvement. May I ask for little help to close the question ?
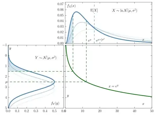
- As you can see, top right and bottom left should have the same grid and there's a little gap
- When I try to use a
\foreach \FZero in {0.1,0.2,...,1} to animate, It does not work (probably due to groupplot) ?
- better link mathematically normal and lognormal shadow plots (hardcoded so far)
\documentclass[tikz,export]{standalone}
\usepackage{animate}
\usepackage{pgfplots}
\usepgfplotslibrary{groupplots,fillbetween}
\pgfplotsset{compat=1.16}
\tikzset{declare function={
N(\x,\m,\SIG) = 1/(sqrt(2pi))exp(-0.5(pow((\x-\m),2))/(2\SIG^2));
L(\x,\m,\SIG) = 1/(\x\SIGsqrt(2pi))exp(-0.5(pow((ln(\x)-\m),2))/(2\SIG^2));}
}
\begin{document}
%\foreach \FZero in {0}
%{
\def\FZero{0} %x coordinate on Normal distribution you want to project
\def\Nmu{0.01} %mu cannot b <= 0
\def\Nsig{0.25} %
\pgfmathsetmacro{\Lmu}{ln(\Nmu)-0.5*\Nsig*\Nsig}
\pgfmathsetmacro{\Lsig}{ln(1+ \Nsig / \Nmu*\Nmu)}
\pgfmathsetmacro{\Lb}{\Nmu-5*\Nsig}
\pgfmathsetmacro{\Rb}{\Nmu+5*\Nsig}
\pgfplotsset{
Lnorm/.style={smooth,ultra thick,color=cyan!60!black,domain=\Lb:\Rb,samples=101},
Llognorm/.style={color=cyan!60!black,ultra thick,domain=0.01:{exp(\Rb)},
samples=201},
Lexp/.style={color=green!50!black,ultra thick,domain=\Lb:\Rb,samples=101},
}
\begin{tikzpicture}
\begin{groupplot}[
group style={group size=2 by 2,
horizontal sep=0pt,
vertical sep=0pt,
xticklabels at=edge bottom,
yticklabels at=edge left
},
%customaxis2,
height=8cm,
width=8cm,
legend pos=north east,
% grid=both
]
% top left
\nextgroupplot[group/empty plot]
% top right
\nextgroupplot[ymax=1.8]
\addplot[name path=TR1,Llognorm] {L(x,\Nmu,\Nsig)} ;
\addplot[name path=TR2,Llognorm,opacity=0.5] {L(x,{\Nmu +0.3},\Nsig)} ;
\addplot[name path=TR3,Llognorm,opacity=0.25] {L(x,{\Nmu +0.5},\Nsig)} ;
\addlegendentry{$\mathcal{LN}(0,\Lsig)$}
\node[circle,draw] (c1) at (axis cs:{exp(\FZero)},{L({exp(\FZero)},\Nmu,\Nsig)}) {};
% bottom left
\nextgroupplot[y coord trafo/.code={\pgfmathparse{-#1}},
y coord inv trafo/.code={\pgfmathparse{-#1}}]
\addplot[name path=BL1,Lnorm] ({N(x,\Nmu,\Nsig)},{x}) ;
\addplot[name path=BL2,Lnorm,opacity=0.5] ({N(x,{\Nmu+0.5},\Nsig)},{x}) ;
\addplot[name path=BL3,Lnorm,opacity=0.25] ({N(x,{\Nmu+1},\Nsig)},{x}) ;
\addlegendentry{$\mathcal{N}(0,\Nsig)$}
\node[circle,draw,fill=blue!30] (a1) at (axis cs:{N(\FZero,\Nmu,\Nsig)},\FZero) {};
%bottom right
\nextgroupplot[%yticklabels={},
y coord trafo/.code={\pgfmathparse{-#1}},
y coord inv trafo/.code={\pgfmathparse{-#1}}]
\addplot[name path=BR1,Lexp] ({exp(x)},{x}) node[right,pos=0.5] {$x=e^{y}$};
\addlegendentry{$x=e^y$}
\node[circle,draw] (b1) at (axis cs:{exp(\FZero)},\FZero) {};
\end{groupplot}
%Connect points between groupplots
\draw[-latex,dashed,green!50!black,thick] (a1) -- (b1) -- (c1) ;
\end{tikzpicture}
%}
\end{document}
y=exp(x)as in your code orx=exp(y)as in your screen shot? – Oct 14 '18 at 03:36\ln \mathcal{N}for log-normal distribution, as in the screenshot, is highly misleading because it is in fact the distribution ofe^XwhereXis normally distributed. It would be much more logical to denote ite^{\mathcal{N}}. Quick look at wikipedia gives me not a single example of highly confusing\ln \mathcal{N}notation. – Oct 14 '18 at 09:50