I would like to use \overset and \underset together on this formula but it gives me an error. As soon as I change the equality sign (=) and use max instead it is fixed. Can you help me with that?
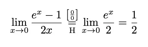
\[
\lim_{x\to 0}{\frac{e^x-1}{2x}}
\overset{\left[\frac{0}{0}\right]}{\underset{\mathrm{H}}{=}}
\lim_{x\to 0}{\frac{e^x}{2}}={\frac{1}{2}}
]

