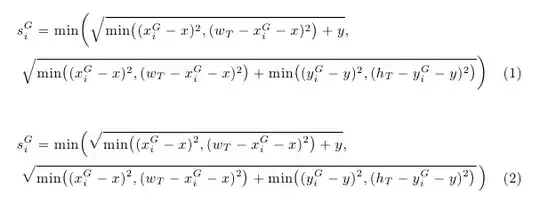
I think this is an example of why the \left...\right construct is more problematic than useful in some situations. I propose to use the \bigX, \BigX, \biggX, \BiggX family of commands instead; they do not need to be paired and one doesn't have to make manual adjustments when a line change occurs and the lines don't have the same height.
Below, two variations of the expression using this family of commands (the size of the inner parentheses was also corrected); the second one using additionally \smash:
\documentclass{article}
\usepackage{amsmath}
\begin{document}
\begin{equation}
\begin{aligned}
\label{eq:foo}
s_{i}^{G}= & \min
\biggl(
\sqrt
{
\min
\bigl(
(
x_{i}^{G}-x
)
^2,
(
w_{T} - x_{i}^{G}-x
)
^2
\bigr)
+
y
}
,\\
&\quad
\sqrt
{
\min
\bigl(
(
x_{i}^{G}-x
)
^2,
(
w_{T} - x_{i}^{G}-x
)
^2
\bigr)
+
\min
\bigl(
(
y_{i}^{G}-y
)
^2,
(
h_{T} - y_{i}^{G}-y
)
^2
\bigr)
}
\biggr)
\end{aligned}
\end{equation}
\begin{equation}
\begin{aligned}
\label{eq:foo}
s_{i}^{G}= & \min
\Bigl(
\sqrt
{\smash[b]{
\min
\bigl(
(
x_{i}^{G}-x
)
^2,
(
w_{T} - x_{i}^{G}-x
)
^2
\bigr)
+
y
}}
,\\
&\quad
\sqrt
{\smash[b]{
\min
\bigl(
(
x_{i}^{G}-x
)
^2,
(
w_{T} - x_{i}^{G}-x
)
^2
\bigr)
+
\min
\bigl(
(
y_{i}^{G}-y
)
^2,
(
h_{T} - y_{i}^{G}-y
)
^2
\bigr)
}}\,
\Bigr)
\end{aligned}
\end{equation}
\end{document}

As Guido mentions in his comment, a solution for the problem of the displacement of the equation number is to replace the combination of equation and aligned with multline:
\documentclass{article}
\usepackage{amsmath}
\begin{document}
\begin{multline}
\label{eq:foo}
s_{i}^{G}= \min
\biggl(
\sqrt
{
\min
\bigl(
(
x_{i}^{G}-x
)
^2,
(
w_{T} - x_{i}^{G}-x
)
^2
\bigr)
+
y
}
,\\
\sqrt
{
\min
\bigl(
(
x_{i}^{G}-x
)
^2,
(
w_{T} - x_{i}^{G}-x
)
^2
\bigr)
+
\min
\bigl(
(
y_{i}^{G}-y
)
^2,
(
h_{T} - y_{i}^{G}-y
)
^2
\bigr)
}
\biggr)
\end{multline}
\begin{multline}
s_{i}^{G}= \min
\Bigl(
\sqrt
{\smash[b]{
\min
\bigl(
(
x_{i}^{G}-x
)
^2,
(
w_{T} - x_{i}^{G}-x
)
^2
\bigr)
+
y
}}
,\\
\sqrt
{\smash[b]{
\min
\bigl(
(
x_{i}^{G}-x
)
^2,
(
w_{T} - x_{i}^{G}-x
)
^2
\bigr)
+
\min
\bigl(
(
y_{i}^{G}-y
)
^2,
(
h_{T} - y_{i}^{G}-y
)
^2
\bigr)
}}\,
\Bigr)
\end{multline}
\end{document}

\left,\rightconstructs can not cross alignment boundaries, nor be on different lines. You need to close it with a\right.and begin it again with a\left.on the next line, or after the alignment points. Also, no need to putalignwithinequation. The\alignenvironment is all that is needed. – Peter Grill Sep 25 '12 at 00:01left\{is closed with a\right.on the first line, and the opened with a\left.on the second line. – Peter Grill Sep 25 '12 at 00:05left.is. Could you, in the form of an answer, explain what theleft. {}means, then I will accept it – puk Sep 25 '12 at 00:08