I'm trying to reproduce a variant of this view, where hovering the mouse over a point highlights its "corresponding" point on all plots:

In my case, the additional complexion is that the x-axes are not the same (i.e. they're not all time), though they do all increase monotonically.
I'm in the process of reading, experimenting, and further exploring based on comments on these threads:
- Display function value on hover?
- Display position information out of ListPlots inside a Manipulate
- Extracting the coordinate of a particular point of interest from a ListPlot
- Items known by CurrentValue
- How to manipulate 2D plots?
- Dynamically updating interactive objects in Mathematica
- Adding custom GridLines to the "automatic" ones
However, I've yet to understand (though perhaps the answer may be in one of those threads) how one would affect a plot based on an event triggered on another plot. Any pointers would be greatly appreciated. I'll post my solution when I figure it out, though I'm sure it won't be the best one could do, as I'm still new to Mathematica.
After @ssch's answer was posted, I realized I left out some critical details/clarifications.
First, I'm working with discreet data, i.e. two ListPlots. That doesn't seem to matter, though. @ssch's example worked for me, using ListPlot.
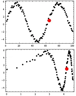
Second, and more importantly, the two x-axes are not linear images—_i.e._they do not increase uniformly. For example:

The above plots graph the same y-axes, but based on different x-axes. (The dotted gray lines correspond, so one can see how certain areas are "stretched" or "compressed" in the second graph.)
Is there a way to get a corresponding cursor in such a case?

