I have a matrix of the form:
Tvol // TraditionalForm
$$\left( \begin{array}{ccc} 1 & \frac{\delta I_1(\kappa )}{I_0(\kappa )} & 0 \\ \frac{I_1(\kappa ) \delta ^*}{I_0(\kappa )} & \frac{\delta (I_1(\kappa )+\kappa I_2(\kappa )) \delta ^*}{\kappa I_0(\kappa )} & 0 \\ 0 & 0 & \frac{\delta I_1(\kappa ) \delta ^*}{\kappa I_0(\kappa )} \\ \end{array} \right)$$
That I want to simplify with these assumptions:$g=\frac{I_2(\kappa)}{I_0(\kappa)},g_c=\frac{I_1(\kappa)}{I_0(\kappa)}$
So far I have tried the following codes, but none of them work.
Replace[Tvol,
{BesselI[2, κ]/BesselI[0, κ] -> g,
BesselI[1, κ]/BesselI[0, κ] -> Subscript[g, c]}]
Refine[Tvol,
Assumptions ->
{g = BesselI[2, κ]/BesselI[0, κ],
Subscript[g, c] = BesselI[1, κ]/BesselI[0, κ]}]
Simplify[Tvol,
Assumptions ->
{g = BesselI[2, κ]/BesselI[0, κ],
Subscript[g, c] = BesselI[1, κ]/BesselI[0, κ]}]
The definition of $Tvol$ is as follows:
Tvol = {{0, 0, 0}, {0, 0, 0}, {0, 0, 0}}
Tvol[[1, 1]] = Integrate[p[ψ, 0, κ]*T[ψ][[1, 1]], {ψ, -Pi/2, Pi/2}]
Tvol[[1, 2]] = Integrate[p[ψ, 0, κ]*T[ψ][[1, 2]], {ψ, -Pi/2, Pi/2}]
Tvol[[1, 3]] = Integrate[p[ψ, 0, κ]*T[ψ][[1, 3]], {ψ, -Pi/2, Pi/2}]
Tvol[[2, 1]] = Integrate[p[ψ, 0, κ]*T[ψ][[2, 1]], {ψ, -Pi/2, Pi/2}]
Tvol[[2, 2]] = Integrate[p[ψ, 0, κ]*T[ψ][[2, 2]], {ψ, -Pi/2, Pi/2}]
Tvol[[2, 3]] = Integrate[p[ψ, 0, κ]*T[ψ][[2, 3]], {ψ, -Pi/2, Pi/2}]
Tvol[[3, 1]] = Integrate[p[ψ, 0, κ]*T[ψ][[3, 1]], {ψ, -Pi/2, Pi/2}]
Tvol[[3, 2]] = Integrate[p[ψ, 0, κ]*T[ψ][[3, 2]], {ψ, -Pi/2, Pi/2}]
Tvol[[3, 3]] = Integrate[p[ψ, 0, κ]*T[ψ][[3, 3]], {ψ, -Pi/2, Pi/2}]
$T(\psi)$ and $p(\psi)$ are earlier defined in the notebook as follows:
S = Sqrt[2]/2*{{1 + δ\[Conjugate], 0}, {0, 1 - δ\[Conjugate]}} // Simplify
k =
(1/Sqrt[2]) *
{{S[[1, 1]] + S[[2, 2]]}, {S[[1, 1]] - S[[2, 2]]}, {2 S[[1, 2]]}} // Simplify
Subscript[T, 0] = Dot[k, ConjugateTranspose[k]] // Simplify
R[ψ_] := {{1, 0, 0}, {0, Cos[2 ψ], Sin[2 ψ]}, {0, -Sin[2 ψ], Cos[2 ψ]}}
T[ψ_] := Dot[R[ψ], Subscript[T, 0], Transpose[R[ψ]]]
p[x_, mu_, k_] := 2*PDF[VonMisesDistribution[2 mu, k], 2 x] // Simplify;
Following the comments I wrote:
Simplify[Tvol,
Assumptions ->
{g == BesselI[2, κ]/BesselI[0, κ],
Subscript[g, c] == BesselI[1, κ]/BesselI[0, κ]}]
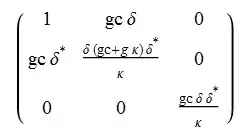
{{1, (δ BesselI[1, κ])/BesselI[0, κ], 0}, {(BesselI[1, κ] Conjugate[δ])/BesselI[0, κ], (δ (BesselI[1, κ] + κ BesselI[2, κ]) Conjugate[δ])/(κ BesselI[0, κ]), 0}, {0, 0, (δ BesselI[1, κ] Conjugate[δ])/(κ BesselI[0, κ])}}
but as you see that didn't solve the problem. I even replaced , by &&:
Simplify[Tvol,
Assumptions ->
{g == BesselI[2, κ]/BesselI[0, κ] &&
Subscript[g, c] == BesselI[1, κ]/BesselI[0, κ]}]
but that does not change the result.


Tvol. – N.J.Evans Sep 17 '15 at 02:26==sign (double equals). The single=sign has another meaning in MMA. Thus I vote to close as "arising from a syntax error" – LLlAMnYP Sep 17 '15 at 06:43Tvolit's not entirely obvious to me, why Alexei's result is wrong. – LLlAMnYP Sep 17 '15 at 08:09Tvol@LLlAMnYP – Sepideh Abadpour Sep 17 '15 at 08:13gandgcthat will let it simplify to what you want. I'm pretty sure, there's a way to use theTransformationFunctionsoption to teach it, but I can't help much further. I suggest you check out the many other threads on simplification here. – LLlAMnYP Sep 17 '15 at 09:48