This is difficult for me to explain, but how do I put words over a symbol? For instance, I want to add words over an equal sign. Anyone know the command/syntax for that?
Also adding ^ doesn't cut it..., I want the text to appear ON TOP.
This is difficult for me to explain, but how do I put words over a symbol? For instance, I want to add words over an equal sign. Anyone know the command/syntax for that?
Also adding ^ doesn't cut it..., I want the text to appear ON TOP.
$\stackrel{sometext}{=}$
if sometext is not intended to be in math mode then write \text{sometext} within. (\text is available in amsmath package)
$\stackrel{\text{sometext}}{=}$
blessings
\small in mathmode. Have a look at Gonzalo's answer, he successfully uses \tiny there...
– Tom Bombadil
Sep 26 '12 at 01:19
\text inside, you can use any text command you want ;)
– loved.by.Jesus
Feb 18 '16 at 15:54
\underset instead of \stackrel, because the former is "obsolete".
– AXO
Oct 21 '19 at 16:10
You can use a combination of \stackrel and \mathclap (from the mathtools package):
\documentclass{article}
\usepackage{mathtools}
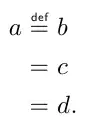
\newcommand\myeq{\stackrel{\mathclap{\normalfont\mbox{def}}}{=}}
\begin{document}
\begin{align*}
a &\myeq b \\
&=c \\
&= d.
\end{align*}
\end{document}

If using mathtools is not an option, you can use a \makebox of width 0pt:
\documentclass{article}
\usepackage{amsmath}
\newcommand\myeq{\mathrel{\stackrel{\makebox[0pt]{\mbox{\normalfont\tiny def}}}{=}}}
\begin{document}
\begin{align*}
a &\myeq b \\
&=c \\
&= d.
\end{align*}
\end{document}

Even better, if amsmath has been loaded, is to use \overset instead of \stackrel; a little example using \tiny\sffamily for "def" :
\documentclass{article}
\usepackage{amsmath}
\newcommand\myeq{\mathrel{\overset{\makebox[0pt]{\mbox{\normalfont\tiny\sffamily def}}}{=}}}
\begin{document}
\begin{align*}
a &\myeq b \\
&=c \\
&= d.
\end{align*}
\end{document}

Inside the argument for \mbox one can use some of the font modifiers, as I did in my second and third examples.
Particularly, I don't like this kind of notation (it's not really necessary); you should consider if you really need the text above the equal sign.
\mbox better than \text in this case, so that the def is still upshape even e.g. in theorem?
– yo'
Sep 26 '12 at 06:43
\overset to \stackrel; instead of \mbox I'd use \mathrm or \textnormal.
– egreg
Sep 26 '12 at 15:52
\overset; thank you. I kept the \mbox since I wanted to illustrate changes to the font for the text (which the OP seems to want to apply according to a comment to the other answer).
– Gonzalo Medina
Sep 26 '12 at 17:23
\normalfont inside the \mbox anyway, or "def" would inherit the font attributes which are current outside the formula (it may be italics in a theorem statement, for instance).
– egreg
Sep 26 '12 at 17:33
$\overset{\mathrm{def}}{=}$
\overset is available in amsmath package.
Good luck.
\underset option, this the simplest answer.
– davidparks21
Jan 13 '18 at 00:51
All answers here suppose that you are using LaTeX (??). If it is not true then there is standard plain TeX macro \buildrel for doing this. The syntax is \buildrel (what above) \over (relation)
$a \buildrel \rm def \over = b$
\bye