90

I'm trying to create a pmatrix whose components are rather complicated fractions (Christoffel symbols), and the line spacing is too small making the whole thing a bit cramped and hard to read.

Is there any easy way to increase the spacing (about 1.5 the default would be perfect)?

Stefan Kottwitz
  • 231,401

3 Answers3

120

You could redefine \arraystretch. This can be made locally, within a group or environment. For example:

\begingroup
\renewcommand*{\arraystretch}{1.5}
% your pmatrix expression
\endgroup

But you could do it in the preamble too, then it would have effect on all matrices and arrays.

Here's a redefinition of an internal amsmath LaTeX macro for customizing line spacing in specific matrices arbitrarily as desired:

\makeatletter
\renewcommand*\env@matrix[1][\arraystretch]{%
  \edef\arraystretch{#1}%
  \hskip -\arraycolsep
  \let\@ifnextchar\new@ifnextchar
  \array{*\c@MaxMatrixCols c}}
\makeatother

After putting this in your preamble, you can write

\begin{pmatrix}[1.5]
...

vary the value as you like, with pmatrix, vmatrix, bmatrix and alike, or use it without the optional argument as usually.

I used it similar in my blog some years ago.

Complete small example to show the difference:

\documentclass{article}
\usepackage{amsmath}
\makeatletter
\renewcommand*\env@matrix[1][\arraystretch]{%
  \edef\arraystretch{#1}%
  \hskip -\arraycolsep
  \let\@ifnextchar\new@ifnextchar
  \array{*\c@MaxMatrixCols c}}
\makeatother
\begin{document}
\[
  \begin{pmatrix}
    1 & 0 \\
    0 & 1
  \end{pmatrix}
  =
  \begin{pmatrix}[1.5]
    1 & 0 \\
    0 & 1
  \end{pmatrix}
\]
\end{document}

matrices in two sizes

Stefan Kottwitz
  • 231,401
  • How can one change the stretching in the preamble and have it done? Do one have to write \begin{pmatrix}[1.5] to stretch it?:

    EDIT: OK I found it: just add "\renewcommand*{\arraystretch}{1.5}" in the preamble and you're good to go.

    – Physics_maths May 01 '14 at 18:14
  • How would I use this along with say left or right align in the matrix? – D.R Nov 04 '21 at 06:49
61

By redefining \arraystretch you can change the vertical space between the all rows; using the optional argument for \\ you can control the vertical space for individual lines:

\documentclass{article}
\usepackage{amsmath}

\begin{document}

[ \begin{pmatrix} \dfrac{a}{b} & c\ \dfrac{a}{b} & d\ \dfrac{a}{b} & e \end{pmatrix} ]

[ \renewcommand\arraystretch{2} \begin{pmatrix} \dfrac{a}{b} & c\ \dfrac{a}{b} & d\ \dfrac{a}{b} & e \end{pmatrix} ]

[ \begin{pmatrix} \dfrac{a}{b} & c \[1em] \dfrac{a}{b} & d\[2em] \dfrac{a}{b} & e \end{pmatrix} ]

\end{document}

enter image description here

Stephen
  • 3,826
Gonzalo Medina
  • 505,128
1

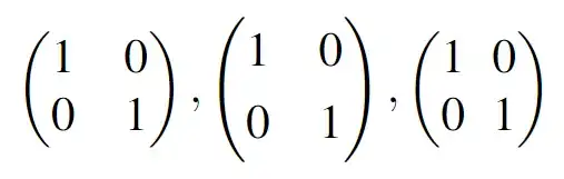
Individual veritcal spaces can be done with \\[3pt] option, horizontal by \, or \!

\[
  \begin{pmatrix}
    1 & 0 \\
    0 & 1
  \end{pmatrix},
  \begin{pmatrix}
    1 & 0 \\[3pt]
    0 & 1
  \end{pmatrix},
  \begin{pmatrix}
    1 & \!\!\!\! 0 \\
    0 & \!\!\!\! 1
  \end{pmatrix}
\]